|
2012-02-20 15:08
조회: 16,599
추천: 55
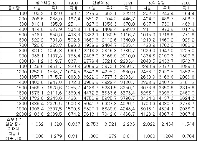
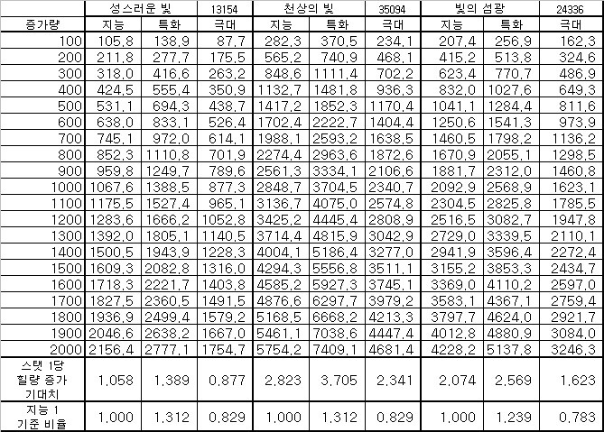
지능/특화/극대에 의한 힐량 증가1. 글을 시작하기 앞서 요즘 지능/특화/치명의 힐량 증가에 대한 얘기가 많은데 이것에 대한 고찰을 좀 해보려고 합니다. 글이 매우 길고 복잡하기 때문에 수식 등을 보기 싫으신 분들은 결론 부분만 보셔도 좋습니다만 글 전체에 대해서 이해를 하시려면 수식 계산까지 읽으실 필요는 없지만 적어도 그 수식계산을 한 표 정도는 봐 주시기 바랍니다. 사실 이것에 대해서는 이미 대격변 초기에 다 얘기가 끝난 걸로 아는데 4.2때 특화/극대가 상향되기도 했고 스탯이 많이 달라진 요즘에 와서는 좀 달라지지 않았을까 하는 생각에 이 글을 써볼 생각이 들었습니다. (물론 섬연님의 스탯 우선순위에 대한 문제제기도 중요한 동기 중에 하나 였습니다.) 이 글은 다음과 같은 가정을 먼저 하고 시작합니다. 1) 오버힐 일단 기본적인 가정으로 오버힐은 없다는 가정으로 합니다. 이것까지 계산해서 수치를 잡는건 거의 불가능합니다. 이건 사실상 실제로 캐릭터를 굴리면서 직접 리카운트로 비교분석해봐야 하는데 매번 구성인원이 달라지는 막공을 다니면서 이것에 대한 분석 하는 것 자체가 불가능했습니다. 그게 아니어도 제 힐 리카운트가 모든 사람들에게 적용된다는 보장도 없으므로 오버힐은 애초에 배제했습니다. (즉, 오버힐은 없고, 특화보호막도 100% 소모되고, 극대가 터져도 힐이 무조건 들어가는 상황을 가정합니다.) 실제로 이 모델은 힐러의 모델이라기 보다는 딜러의 딜량 모델과 동일합니다. 힐러는 오버힐도 있고 하다보니 이런 모델에 적합하지 않다는 것은 알지만 수치적으로 계산하기 위해서는 이러한 모델을 쓸 수밖에 없네요.) 2) 가속 또한 가속에 대해서는 전혀 고려하지 않습니다. 이유는 가속은 마나소모를 필요로 하는 힐량 증가 스탯입니다. 즉, 힐량 한방 한방에 대해서는 가속이 영향을 미치는 바는 전혀 없습니다. 다만 시간을 길게 봤을 때 힐을 한번이라도 더 할 수 있고 빨리 힐을 하면 좀 더 유효힐을 꼽아넣을 가능성이 높아지기 때문에 힐량 증가가 되는 것이죠. 또한 그렇게 힐을 한번 더 넣기 위해서는 마나가 소모 되므로 부가적으로 정신력을 올려줘야 합니다. 그런데 각 성기사마다 또한 각 세팅마다 각 네임드마다 사용하는 기술의 비중은 매번 달라지기 때문에 가속의 증가로 인해 추가로 소모되는 마나를 예측해서 감안하기는 어려웠습니다. (특히 신기의 경우 신성한 힘으로 사용하는 힐 기술의 경우를 어떻게 감안할 것인가 등 예외 상황이 너무 많아집니다.) 따라서 지능이나 특화 및 극대와 동등한 비교가 어렵다고 판단되서 제외했습니다. 가속도의 HPS 증가에 대한 정보가 필요하시다면 제 글 보다 Flyer님이 올리신 글을 참조하시는게 도움이 될 듯 합니다. 3) 기본적인 성기사 모델 일단 4.3 레이드를 뛸 수 있는 최저 스펙 정도에 맞췄습니다. 템렙 385정도를 인벤 시뮬레이터로 세팅해보니 지능 6500(전정실 기준, 왕축X, 판금 전문화 O), 무기주문력 2500(시간의 파격이나 일반 코군 정도 2467정도이긴 한데 계산을 간단하게 하기 위해 2500으로 합시다.), 특화 700, 극대 700로 가정하겠습니다. 나머지 스탯은 정신이나 가속으로 갈 테니 극대나 특화보다는 가속이랑 정신력에 치중한 상당히 대중적인 정신/가속 세팅에 가깝겠죠. 물론 가속이나 정신은 이 글에서는 계산을 안합니다. (앞서 말했듯이 이 글은 힐 한방당 힐량 증가에 대한 내용이지 HPS(초당 힐량)나 힐 지구력에 대한 내용은 아닙니다.) 먼저 이정도 스펙을 기준으로 효율을 내보고 그보다 아이템이 좋을 때랑 안좋을 때의 효율에 대해서도 설명하도록 하겠습니다. 4) 아래의 글 내용이 진리는 아닙니다. 앞서 말씀드렸다시피 이 글 내용은 여러가지 가정을 하고 시작하는 것이기 때문에 실제 레이드에서는 전혀 다르게 적용될 수 있습니다. 게다가 사실 전 게임에 투자할 수 있는 시간이 많지 않다보니 저야 3하드 겨우 완료한 허접신기(제 닉네임으로 전정실 검색하시면 나옵니다.)이고 실제 하드 진도 많이 나가신 분들에 비해서 힐을 잘한다고 뻐길 수 있는 정도도 아닙니다. 다만 막공을 다니다보니 헬팟을 만나는 경우가 많다보니 그런 것들으 커버해보자고 게임에 접속하지 않는 못하는 동안 세팅에 대해 연구를 좀 해보는 편입니다. 게다가 저는 발견하지 못했지만 뭔가 수식에 오류가 있을 수도 있습니다. 오류가 있는 부분에 대해서는 피드백을 받아 수정하도록 하겠습니다. 2. 각 스탯 당 힐량 증가 기대치에 대한 공식 1) 기본적인 힐량에 대한 공식 기본적으로 지능 1당 주문력이 1 증가 합니다. 장비 및 마부/보석으로 올라가는 지능1은 실제로 판금방어구 전문화(신성 성기사 기준) 5%, 왕축(or 야생의 징표) 5%의 영향을 받아 1.1025배 증가하고 추가적으로 주문력 버프(술사 불꽃토넴이나 법사의 신비한 총명함(주문력 6%)or 정술/악흑의 주문력 10% 시너지 등)로 최고 10%까지 더 증가합니다. 특히 앞서 열거한 버프/시너지는 모두 곱연산으로 적용이 됩니다. 따라서 보통 지능 100정도를 올리면 주문력이 약 121정도 오르는 것으로 계산합니다. (공대에 항상 정술/악흑이 있는 것은 아니므로 실제로 6%로 하는 편이 나을 수도 있으나 지금은 최대치를 보고자 함이므로 10%로 계산합니다.) 또한 지능으로는 극대율(치명타율)이 증가합니다. 지능 스탯 1당 0.001541% 증가합니다. 지능 100당 0.1541% 증가하구요. 물론 이것도 마찬가지로 판금 방어구 전문화 5%와 왕축/야징의 5%를 받아서 지능이 약110정도 증가하므로 이거에 맞게 곱해주면 실제 증가하는 극대율이 나옵니다. 먼저 지능으로 증가하는 힐량을 계산해보죠. 신기의 밥줄(요즘엔 왠지 광휘인거 같지만…)인 천상의 빛으로 예를 들어보죠. 만렙(85레벨) 성기사의 천상의 빛의 주문력 계수는 1.153이고 base 힐량(주문력이 0이어도 들어가는 힐량)은 11733입니다. 즉, 주문력 0짜리 캐릭이 있다면 힐량은 11733일겁니다. (실제로는 특정 범위의 힐량인데 여기서는 평균값으로 잡습니다.) 하지만 만렙신기가 옷을 다 벗어도 주문력은 0이 나오질 않죠. 제 성기사 캐릭(블러드 엘프)이 특성도 안 찍고 버프 다 지우고 옷을 다 벗고(아이 부끄…) 지능은 109 주문력을 보면 99가 나옵니다. 읭? 지능은 109인데 왜 주문력은 99인가요? 지능 1당 주문력 1 아닌가요? 뭔가 좀 이론과 다른 부분이 있는 듯 합니다. (혹시 제 캐릭만 저주인건 아니겠죠? 하지만 실제로 주문력 10만 빼면 주문력 계산은 정상적으로 계산됩니다.) 그럼 위에 예로 든 지능 6500, 무기주문력 2500짜리 캐릭의 주문력은? 8990이 되네요. 아 뭔가 아쉽네요. 그냥 무기 주문력에서 10을 추가해서 9000을 만듭시다. (계산을 편하게 하기 위해 이건 앞으로도 모두 그렇게 할겁니다.) 아무튼 주문력에 의한 힐량 계산식은 다음과 같습니다. 힐량 = Base힐량 + (주문력계수 * 주문력) 이므로 천빛 힐량 = 11733 + (1.153 * 주문력) 하지만 추가적으로 신기는 특성이 있죠. 빛의 걸음(치유량 10% 증가), 신앙(시전하고 받는 치유효과 6%증가), 통찰의 문장(치유량 5%증가). 자각(치유주문,공격주문 효과 9%증가) 빛의 걸음과 통찰의 문장만 서로 합연산으로 계산되고 나머지 신앙과 자각은 곱연산으로 계산됩니다. 따라서 실제 천빛 힐량 공식은 다음과 같습니다. 힐량 = (11733 + (1.153 * 주문력)) * 1.15 * 1.06 * 1.09 실제 위의 지능 6500, 무기주문력 2510(위에서 설명했음)짜리 신기를 대입해보면 주문력 9000이므로 천빛 힐량 = (11733 + (1.153 * 9000)) * 1.15 * 1.06 * 1.09 = 22110 * 1.15 * 1.06 * 1.09 = 29377 이 되네요. 자, 이때 특화로 생기는 빛나는 치유 보호막은 어느정도 될까요? 특화는 기본 8에 179.28당 특화 1이 올라갑니다. 700이면 특화가 3.9가 올라가고 특화도는 기본 8포함해서 11.9가 되겠네요. 보호막 수치는 특화 1당 1.5%이니 11.9 * 1.5% = 17.85%군요. 29377 * 17.85% = 5243 (소수점 이하는 절삭) 입니다. 극대도 마찬가지로 극대 적중도 179.28당 1%의 극대적중률이 올라갑니다. 마찬가지로 700이면 3.9%가 올라가겠죠. 하지만 여기서 생각해야 될 것 하나. 극대적중률은 지능으로도 증가합니다. 잘 알려졌다시피 지능 1당 0.001541%가 증가합니다. 지능이 6500이므로 지능으로 인한 극대 적중률은 0.001541%*6500 = 10.0165% 군요. 위의 극대도로 인한 극대율 수치와 더하시면 14.0065%입니다. 근데 뭔가 계산이 안맞습니다. 지금 성기사 캐릭 캐릭터 창에 극대도 수치를 가져다 대보세요. 아무리 극대도 수치가 낮은 캐릭도 아마 15%정도의 극대도는 나올겁니다. 그건 캐릭터가 모두 스탯에 영향을 받지 않는 기본적인 극대율이 3.33%가 존재하기 때문입니다. 자, 이걸 더해보면 어떨까요? 17.33%군요.(소수점 2째짜리 이후는 버립시다. 원하시면 포함하여 계산하셔도 좋습니다. 사실 그 정도 차이는 실제 계산에 크게 영향을 주진 않습니다.) 마찬가지로 크리가 터졌을 경우 힐량 증가는 어떻게 계산해야 할까요? 어떤 치유 주문이 X라는 만큼 힐을 하는데 Y확률로 힐량이 100% 증가한다면 그 치유 주문의 힐량 기대값은 다음과 같이 계산할 수 있겠죠. 극대로 인한 힐량 증가 기대치 = 100% * X * Y = X * Y (100%는 1이므로 곱하나 마나) 물론 실제로 대부분의 경우 극대로 터진 힐은 오버힐로 들어갈 가능성이 꽤 높겠지만 이 글에서는 미리 언급했다시피 오버힐은 없습니다. 따라서 천빛으로 인한 힐량 증가 기대치는 얼마가 될까요? 극대로 인한 천빛 힐량 증가 기대치 = 29377 * 17.33% = 5091 (마찬가지로 소수점 이하는 절삭) 근데 뭔가 하나 찜찜합니다. 근데 극대 터졌을 때의 특화도 증가량은 어떻게 하지? 그럼 그 부분에 대해서 추가로 계산해줘야겠죠? 극대가 터진 힐량의 기대치가 5091이니 거기의 17.85%가 특화보호막이 생긴다고 생각하면 되겠네요. 극대로 인한 특화보호막 증가 기대치 = 5091 * 17.85% = 908 (소수점 이하 절삭) 이 더 증가하겠네요. 그럼 실제 천빛 한번을 땡겼을 때의 힐량 기대치는 어떻게 될까요? 천상의 빛의 힐량 기대치 = (기본힐량) + (특화보호막) + (극대로 인한 힐량 증가 기대치) + (극대로 인한 힐량 기대치에 대한 보호막) = 29377 + 5243 +5091 + 908 = 40619 군요. 근데 매번 이렇게 계산하는 게 힘들어 보입니다. 간단한 방식은 없을까요? 힐량이 X일 때 특화보호막 수치가 Y% , 극대적중률이 Z%일 때 힐량을 수식으로 나타내보면 기본 힐량은 X 특화 보호막양은 X Y 극대로 인한 힐량 증가 기대치는 X * Z 극대로 인한 힐량에 대한 특화 보호막 기대치는 X* Y * Z 로 나타낼 수 있습니다. 이걸 다 더하면 X + X * Y + X * Z + X * Y * Z 수학할 때 배웠 듯이 위 식의 각항에 X가 포함되어있으므로 X로 묶어 보면....... X * ( 1 + Y + Z + Y * Z)가 되네요. 괄호 안을 다시 Z로 묶어보면 X * ( 1 + Y + Z * ( 1 + Y) ) 이 되는 군요. 다시 위 항을 1+ Y로 묶어 보면 X * ( (1+Y)*(1+Z) )이 되네요. ( 여기에서 이 (1+Y)랑 (1+Z)를 각각 특화계수랑 극대계수로 이름을 붙입시다. (이는 나중에 계산을 편하게 하기 위해 사용하겠습니다.) 자 이제 이 식에 아까 수치를 대입해서 계산을 해봅시다. 29377 * ( ( 1 + 0.1785) * ( 1 + 0.1733 ) ) = 29377 * ( 1.1785 * 1.1733 ) = 29377 * 1.38238 = 40620 이네요. 아까 계산한 것과 1정도 차이가 나는데 사실 아까 계산한 것은 몇몇 숫자를 소수점 이하를 절삭했기 때문에 그렇게 나온 것이고 실제로 이 계산 값이 실제 기대치에 가깝습니다. 그런데 위에서 빠뜨린 것이 있습니다. 사실 판금 방어구 전문화는 캐릭터 창에 바로 적용이 되기 때문에 신성 특성을 찍은 캐릭터의 노버프 상태의 지능수치가 6500이면 따로 계산해줄 필요는 없습니다. 하지만 왕축과 주문력 버프는 계산해줘야 하겠죠. 게다가 레이드에서는 보통 지능 영약과 지능 올려주는 음식을 먹습니다 이것들만 해도 300+90 = 390이죠. 지능이 6500이면 풀버프 지능은 (6500+390)*1.05 = 7234.5네요. 거기에 무기주문력을 더하고 주문력 버프 10%(정술/악흑 고유 시너지지만 일단 최대치로 해봅시다.) (7234.5+2500) * 1.1 = 10708가 나오네요. 지능 수치가 바뀌었으니 극대 수치도 다시 계산해야 합니다. 그리고 레이드에서는 극대 5% 시너지가 있으니 그것도 더해줘야죠. 극대율 : 7234.5 *0.001541% + 3.33% + 700/179.28 + 5% = 11.148% + 8.33% + 3.9% = 23.38%네요. 자. 위의 식을 다시 다 계산합니다. 천빛 힐량 = (11733 + 1.153 * 10708) * 1.15*1.06*1.09 = 31994 (소수점 이하 절삭) 극대(5%시너지 포함)와 특화까지 포함한 힐량은 31994*(1.1785*1.2338) = 32011 * 1.454 = 46520 (소수점 이하 절삭) 정도네요. (사실 계산상 임의로 절삭하거나 반올림해서 계산하기도 하기 때문에 1단위 숫자는 좀 틀릴 수 있습니다. 이점은 양해 부탁드립니다.) 이와 같은 계산을 각각의 주문에 대해 엑셀 표로 계산하면 다음과 같이 나옵니다.
위에서 계산한 값과 조금 다르죠? 소수점 이하 자리까지 다 계산해서 그렇습니다. 실제 와우에서는 절삭이나 반올림하지 않고 계산하거든요. 실제 와우에 사용되는 값은 위의 값이 정확하거나 가까울 겁니다. 자, 이 엑셀 표 기준으로 잡고 각 스탯에 대한 힐량을 계산해보도록 하죠. 2) 지능으로 인한 힐 증가량 지능은 앞서 설명했다보니 주문력과 극대율을 증가시킵니다. 그러면 지능으로 인해 증가하는 힐량은 다음과 같이 계산할 수 있겠죠. 지능 증가 버프랑 주문력 버프를 감안하면…. ( 지능증가량*1.1025*1.1 * 주문력계수 ) + ( 힐량 * (지능증가량*1.1025/197.28) ) 그런데 이렇게 계산하는게 맞을까요? 지능이 증가하면 주문력이 증가하므로 천빛의 기본적인 힐량도 증가합니다. 힐량이 증가하면 그에 따라 힐량의 일정 %로 쌓이는 특화 보호막도 증가하고 극대로 인해 얻어질 수 있는 힐량 기대치도 증가합니다. 어이쿠 복잡해지네요. 이젠 수식 계산하기 귀찮으니(사실 보시는 분도 지겨우실테고;) 그냥 결론만 보여드립니다;; ( ((지능증가량*1.1025*1.1*주문력계수)*(극대계수)) + ( 힐량 *(지능증가량*1.1025*0.001541%)) ) * (특화계수) 지능 100이 증가하면 실제 천빛 힐량이 얼마나 증가할까요? = (100*1.1025*1.1*1.153)*1.2338 + (31994*(1.1025*0.001541%))*1.1785 = (172.5 + 54.36) * 1.1785 = 267.4 이 나오는 군요. 2) 특화도로 인한 힐 증가량 특화로 인한 힐 증가량은 계산하기 편합니다. 기본 힐량에 극대 계수를 곱한 값에 특화로 인해 증가하는 특화보호막 %를 곱해주기만 하면 됩니다. (힐량 * 극대 계수) * (특화 보호막 증가%) 그러므로 특화도 100이 증가할 때 특화로 인해 증가하는 힐량은 = 31994 * 1.2338 * (100/179.28)*1.5%) = 31994*1.2338* 0.838% = 330.8 이군요. 3) 극대도 증가로 인한 힐량 극대도로 인한 힐 증가량은 특화와 반대로 구하면 됩니다. 기본 힐량에 특화계수를 곱한 값에 극대로 인해 증가하는 극대율을 곱해주면 됩니다. (힐량 * 특화계수) * (증가하는 극대율%) 그러므로 극대적중도 100이 증가할 때의 극대로 인해 증가하는 힐량은 = 31994 * 1.1785 * (100/179.28)% = 31994 * 1.1785* 0.5578 = 210.3 3. 스탯 증가량에 따른 힐량 증가 표 1) 기준스펙에서의 힐량 증가표 위에서 계산한 방식으로 힐량 증가를 표로 나타내면 다음과 같습니다. 위에서 계산한 거랑 조금 다르네요. 절삭이나 반올림이 좀 들어가서 미묘하게 차이가 나는거 같습니다. 하지만 전체적인 추세에서는 달라지는 것은 없을 겁니다. 의외의 결과가 나왔습니다. 스탯 1당 힐량 증가는 특화가 가장 높습니다. 심지어 지능보다도 높네요. 저도 사실 어리둥절했습니다. (사실 맨첨에는 지능으로 인한 극대율에 대한 부분을 계산 안해서 더 차이가 컸었거든요.) 물론 이건 어디까지나 힐량 증가만을 비교한 겁니다. 지능으로 인해 마나통이 증가하는 것과 마나리젠이 올라가는 것에 대한 것까지 포함하면 특화가 더 좋다라고 얘기하긴 힘들죠. (특히 마나리젠이야 정신력을 올려서 커버 가능하지만 마나통은 지능으로만 올릴 수 있으니까요.) 2) 지능 스탯의 증가에 따른 효율성 혹시 눈썰미가 좋으신 분이라면 지능의 힐량 증가 수치가 좀 이상하다라는 것을 눈치채셨을 겁니다. 왜 스탯 100 증가할땐 100.3인데 스탯 1000이 증가했는데 1012.5로 10배가 아니지? 라는 의문이 생기셨을 수도 있겠습니다. 이유는 다음과 같습니다. 지능은 주문력과 크리율을 동시에 올려주기 때문입니다. 그렇기 때문에 사실상 증가하는 지능 수치의 제곱에 비례해서 값이 증가합니다. 오오, 그럼 지능이 엄청 많이 증가하면 특화보다 더 힐량이 높을 수 있지 않느냐! 라고 하실 수도 있겠다 싶어서 그래프를 그려봤습니다. 아래가 스탯 증가량이고 왼쪽이 그에 따른 힐량 증가량입니다. 지능(분홍색 그래프)이 22500(2250이 아니라 22500입니다.)만큼 증가해야 특화(남색 그래프)의 힐량 증가량에 겨우 비슷해집니다. 이건 뭐 대격변 때에는 불가능한 수치겠죠. 3) 대격변 초기의 스탯 증가에 힐량 증가 표 그런데 왜 이런 결과가 나온 것일까요? 사실 대격변 초기 때만 해도 지능이 진리라는 사실은 정설이었죠. 그럼 위의 표를 대격변 초기로 다시 돌려봅시다. 그때는 특화1당 1.25% 증가했었죠. 극대도 50%만 증가했었구요. 물론 장비 스탯도 그때 기준으로 낮춰서 맞춰 보겠습니다. (무기 주문력 1810, 지능 4500, 특화 500, 극대 500 정도) 어라, 아까와는 전혀 다른 상황이네요. 4.2 이전에는 오히려 지능에 의한 힐량이 더 많고 가면 갈수록 힐량에 의한 차이가 더 납니다. 물론 이때의 특화는 지금처럼 중첩이 되지도 않았기 때문에 지금보다 효용성이 많이 떨어졌었죠. 극대는 스탯 대비 힐량 증가량이 매우 낮네요. 이 당시에 가속/정신 세팅이 대세였던 이유 중에 하나겠죠. (가속은 대격변 초기부터 현재까지 힐량 증가에 대한 효율이 동일합니다.) 4)4.2 시절의 스탯당 힐량 증가 표 그럼 지금과 같이 특화와 극대가 변화한 4.2시절에는 어떨까요? 4.1시절 장비는 그대로 두고 특화로 인해 증가하는 수치를 1.5%로 바꾸고 극대로 인해 증가하는 수치도 100%로 바꿔봅시다.
역시 4.2패치의 영향이 큽니다. 특화의 수치가 조정되면서 효율이 증가했고 극대의 효율도 2배가까이 증가했네요. 하지만 맨 처음 세팅과 달리 10%이상 차이 나던 지능과 특화의 힐량 증가 비율이 10%미만이 됩니다. 그렇다면 장비에 의한 차이가 있는 걸까요? 5)용영 일반 졸업급의 스탯당 힐량 증가 표 용영 초입 수준의 장비를 용영 일반 졸업급으로 끌어올려봅시다. (무기주문력 3010, 지능 7000, 특화 800,극대 800 정도)
역시 예상한대로 장비가 더 좋아지니 지능과 특화의 힐 증가량의 차이가 더 크게 벌어지는 군요. 6)용영 하드 졸업급의 스탯당 힐량 증가표 용영 하드 졸업급(무기주문력 3310, 지능 8000, 특화 900, 극대900)은 어떨까요?
역시 특화와 지능의 차이는 더 벌어집니다. 자, 그럼 결론을 내 봅시다. 4. 결론 4.3 기준 레이드 최소스펙인 템렙 385 기준에서는 지능보다 특화의 힐량 증가가 더 큽니다. 물론 특화는 광휘의 틱힐과 탱힐의 봉화힐에는 적용되지 않는 점이나 등짝에서의 혈장 제거에 도움이 되지 않는다는 점에서 마이너스이긴 합니다만 이것들에 의한 페널티를 주더라도 특화의 힐량 증가효율은 지능과 최소 동급이라고 보여집니다. 이런 상황이 된 이유는 기본적인 스펙(지능과 무기 주문력)의 증가때문입니다. 기본적으로 장비에 붙은 지능과 무기주문력에 의해서 결정되는 힐량이 증가하면서 그 힐량의 퍼센트로 적용되는 특화와 극대의 힐량 증가폭은 증가할 수 밖에 없습니다. 이는 장비의 스펙이 더 높아지면 높아질수록 더욱 차이가 벌어집니다. 즉, 지능은 스탯에 의한 힐량 증가가 정량적으로 올라갑니다. (추가적으로 극대로 인한 힐량증가 때문에 제곱에 비례하기는 하지만 워낙 지능에 의해 증가하는 극대율이 적기 때문에 크게 영향을 미치지는 못합니다.) 하지만 특화는 힐량을 일정 퍼센트로 증가시키기 때문에 장비가 좋아지면 좋아질수록 그 힐량 증가량은 더욱 더 증가합니다. 이는 극대에도 마찬가지로 적용됩니다만 특화 1당 힐량이 1.5% 증가하는 것과 달리 극대는 1%당 힐량이 1%만 증가하는 것이기 때문에 그 기대값이 낮을 수밖에 없습니다. 물론 극대는 신충 극대로 인한 빛주입 효과라던가 모든 힐에 적용되는 점에 있어서 특화도보다 더 넓은 적용 범위를 가집니다. 게다가 빛주입으로 인한 즉시시전 빛섬이나 1초미만의 천빛/성빛의 효과는 다른 스탯으로 얻을 수 있는 효과가 아닙니다. 게다가 빛주입으로 인해 단위시간당 힐 스킬 시전 횟수가 증가함에 따라 추가적으로 서광효과를 얻을 확률이 늘고 그에 따라 신충의 시전 횟수도 증가하는 일종의 선순환이 가능합니다. 따라서 표에서 극대의 수치적인 효율이 특화보다 낮게 나오기는 했지만 힐 방식이나 네임드에 따라서 더 높은 효율을 낼 수도 있습니다. 하지만 위의 결과를 잘못 이해해서 장비에 꼽힌 모든 지능 보석을 다 특화로 바꾸는 것은 어리석은 짓입니다. 지능은 힐량을 증가시키기도 하지만 마나통도 증가시키고 마나회복도 증가시키기 때문이죠. 게다가 4.3 장비의 대부분은 빨간색 홈이기 때문에 노란색 특화 보석을 쓰면 소켓 보너스를 받을 수 없습니다. 하지만 빨간색 홈에 지능 보석을 쓰기보다 지능/특화 보석을 쓰는 것을 고려해볼 수는 있다고 생각합니다. 단, 스펙이 4.3 레이드 급인 템렙 385 미만이신 분들은 지능 위주의 스탯을 올려야 합니다. 왜냐하면 영던이나 불땅 급의 스펙에서는 여전히 지능과 특화의 힐량 증가 정도가 비슷하기 때문에 굳이 특화를 올려야 할 이유가 적습니다. 마나 회복량이나 마나통의 증가량이 있기 때문이겠죠. 특히나 만렙 갓찍은 정도의 스펙에서 영던다닐 정도의 템렙에서는 무조건 닥 지능입니다. 적어도 무작 레이드를 졸업한 스펙 정도에서나 특화로의 스탯 재조정을 고려해볼 수 있습니다. p.s.1) 첨부할 수 있는 이미지가 5개뿐이라 일단 글을 올려놓고 외부링크로 이미지를 더 추가하는 중입니다. p.s.2) 낮은 스펙에서의 지능의 우선순위에 대한 내용을 추가했습니다. p.s.3) 본문에서 극대에 의한 효과가 낮게 평가되고 있는 부분에 대한 반론부분을 추가하였습니다.(빛주입+서광에 의한 선순환 효과)
EXP
140,447
(21%)
/ 160,001
|







벨드록